Financial Mathematics Tutoring: University-Level Online Math Help
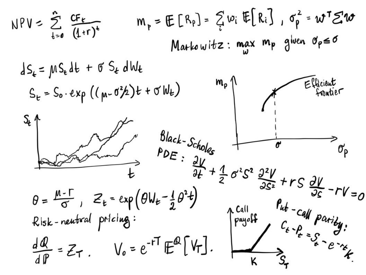
Financial mathematics combines mathematical rigor with practical applications to finance. Topics like derivatives pricing, portfolio theory, and stochastic calculus can be challenging because they require both strong mathematical foundations and understanding how these concepts apply to real financial problems.
Financial mathematics was my PhD focus at UT Austin. I help university students at undergraduate and graduate levels understand both mathematical theory and its applications.
Financial Math Topics Covered
- Time value of money
- Derivatives and options pricing (Black-Scholes, binomial models)
- Portfolio theory and diversification
- Risk-neutral pricing and martingale measures
- Utility maximization and stochastic control
- Topics in computational finance and financial economics

My Approach
Financial mathematics is my specialty. Having spent years developing conceptual understanding in this field, I can help you accelerate and ease your learning, adapting to your level and goals.
Who This Is For
University students studying financial math at undergraduate or graduate level. Perfect for students at UAlberta, other Canadian universities, or studying in the US.
Session Details
- Online via Google Meet
- Monday to Friday, 12–6 PM MT
- CA$75 per hour
- First session guarantee: full refund if you’re not satisfied